雷达明渠流量计的工作原理以及特点介绍
雷达流量计是一款非接触且可连续测量流速、水位、流量的一体式流量监测设备。它采用雷达平面微波技术,通过非接触方式测量水体的流速和水位。根据内置的软件算法,计算并输出瞬时断面流量及累计流量,同时可以输出流速、水位,轻松对接遥测平台,并在云平台上查看测量信息。支持数字(RS485、RS232)或者模拟(4-20mA)的方式传输测量结果,采用标准Modbus-RTU协议。支持4G、NB-IoT、以及LoRa技术实现无线数据传输(可选配)。该产品可用于明渠、河道、灌渠、地下排水管网、防汛预警等场合进行非接触式流量测量;该产品具有功耗低、体积小巧、可靠性高、操作简单、维护方便等特点;测量过程不受温度、气压、泥沙、灰尘、河流污染物、水面漂浮物、空气等环境因素的影响。

测量原理
HR7360雷达流量计采用平面微波技术,用多普勒雷达原理测量水流的表面流速,利用内置的微带雷达技术测量水位。依据流速-面积法,先测得水位换算出断面面积,再由表面流速结合断面参数换算出平均流速,通过建立圆形、矩形和梯形等明渠断面流速分布的经验公式,结合水力模型算法来求取流量;是一种非接触式的,在不改变渠道、河道、管道等边界条件下准确测量流量的测流仪器。
流速测量原理
雷达流速仪采用多普勒雷达测速原理。在对水面进行测速时,雷达流速传感器向水面发射微波,遇到水面后微波将被吸收、反射。反射波的一部分被流速仪探头接收,然后转换成电信号,由测量电路处理并测出多普勒频移,再根据上述原理通过FFT等信号处理算法即可计算出水体的流速。
多普勒测速原理如下:当雷达波发射源与目标相对静止时,则接收频率和发射频率相等:
![]() | 1.1 |
当发射波源位置固定,移动目标相对发射波源以速度
向波源方向运动时,雷达波对于移动目标来说,速度增大为
,单位时间内到达移动目标的雷达波的波长个数即接收频率为:
| 1.2 |
多普勒频移:
| 1.3 |
移动目标的运动速度:
| 1.4 |
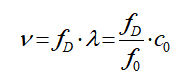
值为正值时表示速度与发射波同向,负号则反向;移动目标的速度与频移成正比,则有:
| 1.5 |
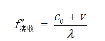
在对河流水面进行测速时,雷达流速传感器向水面发射微波,遇到水面波浪、水泡、漂浮物(被测移动目标物)后,微波将被吸收、反射,反射波的一部分被探头接收,转换成电信号,由测量电路处理并测出多普勒频移,再根据上述原理通过FFT浮点运算即可计算出水体的流速。由于雷达波发射方向和水流的方向通常会有一定的角度,同时发射接收需要距离往返,故需要对上述结果进行修正,修正后的实际水流速度为(
表示雷达波发射方向和水平方向的夹角):
1.6 |
根据以上公式即可获取水体的流速。
水位测量原理
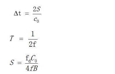
水位采用FMCW调制方式,以三角波为调制信号。工作过程如下:首先电压调制电路产生三角波电压输入至VCO(压控振荡器)产生频率变化的电磁波,电磁波频率的变化按调制电压规律而变化,天线发射出的电磁波经过被测物体反射后产生回波,电磁波从开始发射到目标,被目标反射再返回到天线的时间段内雷达发射频率已经发生了变化,雷达天线将回波信号和发射信号进行耦合得到差频信号,目标的距离和速度信息就包含在差频信号的频率内,由于差频信号非常微弱经过雷达传感器的前置放大和滤波电路处理把信号送入MCU的ADC(模数转换器),MCU通过FFT算法分析ADC采集到的波形得到差频的频率,最后通过推导的公式计算获得被测目标到传感器的距离。
当雷达波发射源与目标相对静止时,雷达发射频率带宽为B,雷达波从发射到返回雷达天线用时为Δt,三角波的频率为f,差频信号的频率为fd。推导如下:(S:雷达板到目标距离,T:三角波的周期)

在上式中,C0是光速,f是调制三角波的频率,B是雷达扫频带宽,fd是MCU分析获得到差频信号,所以唯一的fd即可计算出雷达板到目标对应的距离。
流量测量原理
通过雷达流速探头可以获取并换算平均流速,通过雷达水位探头可以获取并换算水深,断面流量等于平均流速×水流截面积×岸边系数。在灌区明渠中,常见的灌区明渠断面类型有矩形、梯形或者U型;常用的坡地为干、支渠纵坡;两种常用的糙率为混凝土渠壁和浆砌石渠壁。对于这些常见的明渠,其底坡、糙率均是确定的,在断面的流速分布中,流速具有很强的对称性,而且灌区断面上、下游顺直段较长,且断面左右对称,流速分布具有对称性好的特点。根据断面形式、底(纵)坡和糙率对流速场分布进行修正;使用的湍流数学模型主要是RNG(重整化群)к‐ε模型,计算精度高,数值稳定性好,计算数据量适中。
产品特点
设备特点
1、体积小巧、可靠性高、操作简单、维护方便;
2、不受温度、泥沙、灰尘、河流污染物、水面漂浮物、空气压力等环境因素的影响;
3、用于明渠、河道、灌渠、地下排水管网、防汛等场合进行非接触式流量测量 ;
4、非接触测量方式,测量方便,对环境无污染;
5、具有雨天模式,防止下雨引起的干扰;
6、防水等级IP68,有效避免内部器件受潮;
7、低功耗,可以使用太阳能供电,安装方便免维护。
电气特性
1、5.5-32V供电,宽电源电压方便了供电方式的选择性;
2、工作电流和待机电流低,可使用太阳能供电,方便安装,免维护;
3、防雷电路,可以防雷6KV。雷雨天可以有效保护设备防止雷击;
4、测试精度高,数据稳定。有效保证测试的准确性;
5、支持RS485,RS232,4-20mA等有线通讯方式;
6、支持4G、NB-IOT、Lora等无线通讯方式(内置选配)。




